近日,水果派解说 曹进德教授团队在网络化系统的图理论方法、多智能体脉冲控制、大规模逻辑网络的最优牵制控制等方面取得重要研究进展,相关系列结果被国际控制领域顶级期刊《IEEE Transactions on Automatic Control》以常文(Full Paper)形式发表,分别参见[1][2][3]。
针对信息物理系统、网络化控制系统、基因调控网络的建模中所常用的离散时间与状态动力学系统,论文[1]基于图理论方法,通过定义节点染色与边标记图,给出了统一的离散时间与状态动力学系统分析与设计框架,建立了一系列程序化的多项式时间内可执行的能观性与能检测性判别算法,适用于逻辑网络、符号动力学、离散事件系统、Markov链等。对于该图模型的最小设计问题,从理论层面揭示了该图模型的最低成本设计问题是NP难问题,为基于此图模型的大规模实际系统最低功耗设计问题提供了理论指导。结合组合图论中的最小集合覆盖算法,实现了在统一化模型下最低功耗的传感器部署,为最少传感器部署问题提供了精确的图求解算法。

基于无向图k-能染色性的最优设计问题归约图例
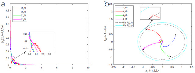
在电力系统、图像处理系统、机械系统以及通信电路系统等实际系统中,由于执行器或传感器受到自身物理条件的限制以及安全运行的需求,控制系统中总是不可避免地会出现饱和受限的现象。然而,饱和约束作为一种非线性约束具有很强的干扰性和破坏性。由于脉冲控制力度的约束或者说脉冲控制量的限制,脉冲控制器很可能无法达到预期的控制效果。因此,具有饱和约束的脉冲系统的研究具有极其重要的理论价值。论文[2]研究了具有切换拓扑的非线性时滞多智能体系统在分布式饱和脉冲控制下的局部一致性问题并估计出吸引域。提出了一种新的估计吸引域的方法,并构造了一种新的依赖于脉冲时刻的复合型Lyapunov函数以降低保守性。利用Lyapunov-Razumikhin方法以及反证法,得到了保证非线性时滞多智能体系统局部一致性的不依赖于时滞的充分判据。为获得最大的吸引域估计,建立了以局部一致性准则为约束的优化问题,并利用Yalmip求解了相应的数值解。最后通过算例验证了所提理论结果的有效性和优越性。

分布式饱和脉冲控制下初值始于吸引域内的系统的状态轨迹
系统生物学的主要目标之一就是要发展复杂生物系统的控制理论。然而,对于由逻辑网络所建模的基因调控网络的研究,仍然具有“对节点过度依赖”、“控制器计算复杂度呈指数增长”、“控制节点较多”等关键问题。针对“对节点过度依赖”的限制,论文[3]提出了在网络结构已知、节点动力学未知情况下逻辑网络的强结构能镇定的定义,并给出了仅与网络节点数呈多项式时间相关的充分必要性分析判据,其对系统参数的不确定性具有较强的鲁棒性。进一步,基于具有激活-抑制信息的网络拓扑,设计了适用于大规模逻辑网络的分布式牵制控制策略,将逻辑网络镇定器设计从指数型复杂度降低到多项式型,克服了传统控制器设计方法的维数灾难。通过引入系统的网络结构信息,利用节点与节点间局部的信息传输与控制,实现了逻辑网络全局镇定的效果。对于其最小牵制节点问题,通过利用节点间耦合逻辑函数的单调性,并结合网络结构的基本环信息,给出了最小控制节点的精确识别技术,从数学理论上给出了严格的最少控制节点数的下界。

基于节点局部信息的逻辑网络全局镇定仿真
水果派解说相关的文章:
[1] S.Y. Zhu, J.D. Cao*, L. Lin, L. Rutkowski, J.Q. Lu, and G.P. Lu, Observability and Detectability of Undeterministic Labelled Graphs, IEEE Transactions on Automatic Control, .
[2] X.X. Lv, J.D. Cao*, L. Rutkowski and P.Y. Duan, Distributed Saturated Impulsive Control for Local Consensus of Nonlinear Time-delay Multi-agent Systems with Switching Topologies, .
[3] S.Y. Zhu, J.D. Cao*, L. Lin, J. Lam, and S.i. Azuma, Toward Stabilizable Large-Scale Boolean Networks by Controlling the Minimal Set of Nodes, IEEE Transactions on Automatic Control, .
《IEEE Transactions on Automatic Control》是IEEE控制系统学会主办的自动控制领域顶级期刊之一,致力于发表自动控制领域中理论方法、设计及其在实际应用中的高质量论文。该刊论文分为Full Paper和Technical Note两类,其中常文(Full Paper)录用率低。该研究工作得到了国家自然科学基金重点项目资助。


